天然薄荷脑系列天然薄荷脑简介
(原创:王 林)
一.天然薄荷脑 名称知多少?
天然薄荷脑—--商品名称 薄荷醇—--化学名称 L-薄荷脑—--薄荷醇的一种具有左旋光学特性的同分异构体,又称左旋薄荷醇 D-薄荷脑—--薄荷醇中具有右旋光学特性的异构体,又称右旋薄荷醇 DL-薄荷脑—--几乎没有光学特性的异构体,又称消旋薄荷脑或合成薄荷脑 薄荷冰—--中医、中药俗称 天然薄荷脑也可根据主成分薄荷醇含量的高低而称为:薄荷粗脑、薄荷脑粉和高纯薄荷脑; 天然薄荷脑还可根据用途不同而称为:日用薄荷脑、食用薄荷脑、医用薄荷脑、药用薄荷脑和试剂薄荷脑。
天然薄荷脑主要生产企业与品牌简介
天然薄荷脑知识简介
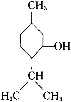
天然薄荷脑是由薄荷的茎叶蒸馏后收集的薄荷原油中提取的一种环状萜类天然有机化合物。外观呈棱柱状或针状无色透明晶体;俗称:“薄荷冰”;天然薄荷脑则是其商品名称。 天然薄荷脑的主成份的化学简称为:“薄荷醇”、“L-薄荷醇”、“左旋薄荷醇”。其化学名称为“2-异丙基-5-甲基环已醇”;其分子式为:“C10H20O”;其分子量为:156.27;其CAS号为:“1490-04-6”或“89-78-1”;其海关编码为:“29061100”。薄荷醇是具有光学活性的有机化合物,它共分为“L-型”、“D-型”和“DL-型”三种光学异构体,还可细分为12种同分异构体。分子结构式如下图所示:
(一)天然薄荷脑的性状特征 外 观:柱状或针状无色透明晶体或结晶性粉末; 香 气:清新怡人的薄荷香气,凉爽透发的薄荷样凉味,辛辣、灼热而后苦,凉感爆发而短促; 溶解性:可溶于乙醚、乙醇、氯仿、液体石腊及挥发油等多种有机溶剂中,极微溶于水,疏水指数Logd值3.5。 (二)天然薄荷脑的理化指标 含量(GC面积归一化法): 95.0~105.0% 比 重(20℃): 0.889~0.899 熔 程: 42~44℃ 沸 点: 215±8℃ 旋 光 度(20℃): -50°~ -49° 溶 混 度: 1克试样溶于5毫升90%(v/v)乙醇中应呈透明溶液。 不 挥 发 物: ≤0.05%以下 砷 含 量(以As计): ≤3ppm 重金属 含量(以Pb计): ≤10ppm (三)天然薄荷脑的规格质量 天然薄荷脑按其用途不同可分为日化用、食品用和医药用三大领域,其规格质量标准自然也有所不同。分别为: 药用规格:符合《中国药典》2020版、《英国药典》2000版、《美国药典》xxv版标准,有药品生产许可证和批准文号。 食品规格:符合《GB 1886.199—2016食品安全国家标准 食品添加剂 天然薄荷脑》、《美国食用化学品规范》iv版标准。 日化规格:符合国家标准《GB3862-2006》规定。 (四)天然薄荷脑的应用功能与机理 1.使用功效:本品作为药食同源的天然香料不仅是应用广泛的赋香剂,而且是清新怡人、凉味十足的清凉剂和凉味剂,更是作为中草药薄荷的纯净提取物而具有多种医药保健功能的药品、保健品原料。因而,它具有清凉爽肤、抑菌抗炎、醒脑提神、消除疲劳、袪风、健胃、增进食欲、抑制神经、止痒镇痛、止咳脱敏、利咽润喉等复合功效。 2.作用机理:根据目前对天然薄荷脑应用性能和作用机理的研究深度,其作用机理主要体现在以下三个方面: (1)薄荷醇分子中的羟基发香原子团对嗅觉神经的刺激而使人感受到清新、凉爽而怡人的薄荷样香气,而附着在薄荷醇晶体表面的微小的挥发性油分和不挥发物则使得天然薄荷脑的香气更加充盈、圆润而细腻; (2)天然薄荷脑对人的皮肤和口腔黏膜具有很好的渗透功能,它在接触皮肤后能迅速分解并释放冷感物质从而刺激皮肤表面的“TRPM8冷感受体”产生凉爽的感觉。而口腔和咽喉部粘膜比外层皮肤更易渗透,对薄荷的凉味感觉更为敏感和强烈。这种对人体感觉神经的致凉性和刺激性也不同程度促使其具备多种药用价值。 (3)天然薄荷脑之所以承袭了天然薄荷草茎叶的大部分医药保健功能,一方面是源于其相对稳定的环烃结构和众多的异构体特性,另一方面则是因为天然薄荷脑对人体神经的致凉性和刺激性使其具有凉肤止痒、麻痹镇痛、抑菌抗炎、清热解毒、疏风祛火、滋咽润喉等多种药用保健功能。例如,天然薄荷脑的镇痛功能则是因为它能刺激皮肤的末梢神经产生轻微的麻痹而使痛感减轻。而服用过量的天然薄荷脑甚至可能导致人的中枢神经严重麻痹而休克。 3.应用范围:天然薄荷脑作为赋香剂、清凉剂、凉味剂和药品、保健品原料在食品、药品、保健品、护肤品、化妆品、口腔护理用品、洗漱、洗涤用品、空气清新置景用品和许多日用化学品等领域有着广泛的应用。 4.使用与安全 (1)使用安全提示 天然薄荷脑虽然是药食同源的香原料、食品原料和药品原料,但通常不能直接接触皮肤和直接食用或内服。只能按照国家标准中规定的限量和配方要求在对应的日用化学品、化妆品、食品和药品中适量添加。高含量和高浓度的天然薄荷脑具有刺激性和致敏性,不宜与皮肤直接接触;在食品中添加天然薄荷脑香料和薄荷脑凉味剂应符合《GB2760食品安全国家标准 食品添加剂使用标准》规定的食品品种和规定使用量来适量添加;含有天然薄荷脑的处方药亦应在医生指导下按照病情需要而酌情外用或内服。 (2) 推荐使用量或使用限量 A.日化产品使用量或限量 牙 膏:1.0~2.0%; 漱口水:0.5~2.0%; 化妆品:0.5~2.0%; 花露水:1.6%; 清凉油:5.0~10.0%; 风油精:40%; B.食品推荐使用限量 口 香 糖:1100mg/kg; 普通糖果:400mg/kg; 烘烤食品:130mg/kg; 冰 淇 淋:68mg/kg; 软 饮 料:35mg/kg; C.医药用品使用常量或限量 外用药常用剂量: 复方薄荷脑软膏:1.35%; 复方炉甘石洗剂:1.6g/L; 复方薄荷脑针剂:13mg~26mg/10ml~20ml; 内服药常用剂量:0.02~0.1g; (3)毒理学数据 A.急性毒性 大鼠经口LD50:3300mg/kg; 大鼠腹腔LD50:700mg/kg; 大鼠皮下LD50:1mg/kg; 小鼠经口LD50:3400mg/kg; 小鼠腹腔LD50:6600mg/kg; 小鼠皮下LD50:5mg/kg; 猫经口LD50:800mg/kg; 猫静脉LDLo:34mg/kg; 兔子皮肤接触LD50:>5mg/kg; 兔子腹腔LDLo:2mg/kg; 豚鼠腹腔LDLo:4mg/kg; B.致突变性 DNA的修复检测系统:细菌-枯草芽孢杆菌:10mg/disc C.生态学数据 对水体稍微有害,不要让未稀释或大量的产品接触地下水、水道或者污水系统,若无政府许可,勿将材料排入周围环境。 D.中毒急救: 由于薄荷脑对皮肤以及眼睛有刺激作用以及一定的毒性,大量使用时必须戴好手套以及安全眼镜。 a.吸 入:将中毒者转移至通风处,采取一般急救措施。 b.误入眼睛:按一般步骤冲洗眼睛,有必要着请咨询医师 c.皮肤接触:用清水和肥皂清洗。 d.其 他:咨询医师。 e.注意事项:勿用于眼及黏膜部位。大鼠的皮下注射致死量约为2g/kg体重,在幼儿鼻腔使用含有本品的滴鼻剂或油膏是很危险的,将会引起虚脱。
(五)储藏、包装、保质期 储 存:置阴凉、干燥的仓库中; 包 装:25公斤全纸桶、25公斤纸板桶、2.5公斤听装; 保质期:12个月~36个月 (本文版权归东台市薄禾香料科技有限公司王 林先生所有。如需转载、摘录、引用,请注明出处!)
| |||||||||||||||||||||||||||||||||||||||||||||||
| 点击次数:194 | |||||||||||||||||||||||||||||||||||||||||||||||





